1
Auf3: bài cho Uen và B Ein Bio-Verstärker ...
Auf4: bài SPL1, SPL2 Bei der Messung des Schalldruckpegels
Auf6: bảng to f, R(f), X(f). vẽ Ortskurve und ein Ersatzschaltbild
Auf7: EKG Registrierung stört? Ein Bioverstärker biết Vd, CMR, Uegl.
Auf8: bài có hình R1 nt (R2//C1) Für die Kalibrierung einer...
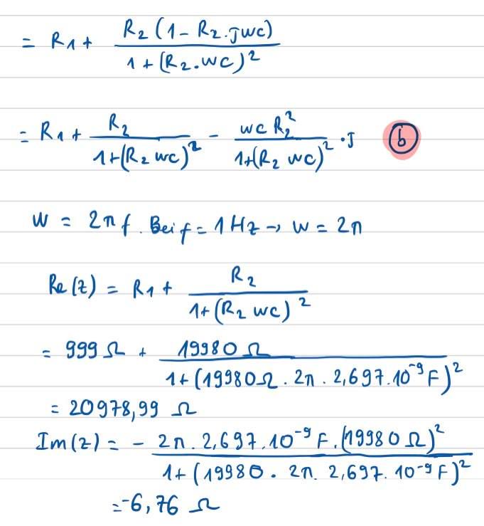
8a.(cũng hình đó, R1= 2kΩ, R2= 10kΩ, C1= 39nF. Geben Sie die Impedanz bei f=1)
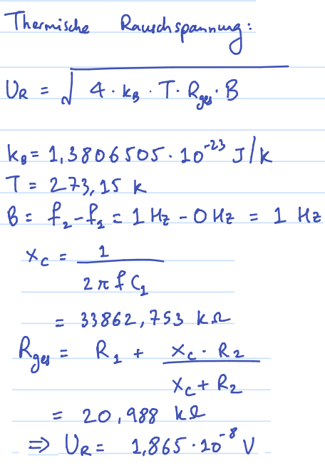
8b.cũng hình đó, hỏi thermische Rauschspannung.
Auf9: hình tương tự 8, R1nt (R2//C1) nt (R3//C2)
Auf11: Arhan Vereinfachen
Auf 12: Arhan Variieren
Auf14: mạch điện bài hỏi Mariam. R1,R2=10MOhm. R3,R4= 10kOhm. CMR=?
Auf15: mạch gần giống 14, thêm C1,C2. CMR=?
Auf16: bài hỏi Key, có biểu đồ
Auf17: R=10, fu=100Hz, fo=200Hz, K, T gegeben. Tính Uneff = căn 4KTBR
Auf19: (Ag/AgCI- Elektroden in physiol. Kochsalzläsung)
Auf21: Averaging Erklären...Signalmittelungstechnik (Averaging) in der Elektrophysiologie! Nennen 2 Messverfahren
Auf22: Artefaktes
Auf23: Leiten Sie ... có hình, có NaCl
Auf24: Leiten Sie... có mạch điện phức tạp
Auf1. Beschreiben Sie ausführlich ein geeignetes Messverfahren
Auf13: Berechnen Sie den systematischen Fehler
Auf18: Berechnen Sie Effektivwert und Gleichrichtwert (Un)... Spitzenwertfaktor (Crest- Faktor) einer normalverteilten Rauschspannung...
Auf20: Bei der Messung eines AEP (Signalmittelungstechnik)...
Auf25: Ein zweistufiger Verstärker
Auf2: Geben Sie jeweils Messschaltungen
Auf5: Geben Sie die Schaltung eines praktisch
Auf1. Beschreiben Sie ausführlich ein geeignetes Messverfahren zur Bestimmung der Haut-Elektroden-Impedanz (nur Betrag)!
(có hình)
R1= 100 MΩ, Vu= 10^3
1.) Messung ohne R (R ⟶ ∞): ig≈ 0, Ue= Eg, Ua1= Vu∙ Eg
⟹Amplitudenmessung Ua1



Auf2: Geben Sie jeweils Messschaltungen für die Bestimmung von Differenzverstärkung (Betrag), Differenzeingangswiderstand, CMR und eingangsbezogener Rauschspannung für einen Bioverstärker an!


Bekannt: R1, R2, ud;
Messen: ua1, ue1, ua2;
Berechnen: vd, ue2
->Differenzeingangswiderstand


Ro: Rauschfreier Widerstand
UR: Rauschquelle von Ro
Uv: Rauschspannungsquelle des Verstärkers
iv: Rauschstromquelle des Verstärkers
Auf3: Ein Bio-Verstärker hat eine eingangsbezogene Rauschspannung (rms) für folgende Rauschbandbreiten (B):
Uen 260 nV für B 0,01 Hz .. 100 Hz
Uen 440 nV für B 0,01 Hz .. 1kHz
Uen 1140 nV für B 0,01 Hz .. 10kHz
Erklären Sie die relativ geringe Zunahme der Rauschspannung für die beiden größeren Bandbreiten!
Bis zu einer gewissen Eckfrequenz dominiert das 1/f-Rauschen, bei höheren Frequenzen „weiße" Rauschquellen mit konstanter spektraler Dichte. Für f > fc:
Sn(f) = const ≈ 12 nV ∙ căn(Hz)
Der RMS-Rauschbeitrag des Funkelrauschens innerhalb der Bandbreite fL bis fc berechnet sich zu:

ewhite = Rauschdichte im konstanten Bereich des Spektrums (f > fc bzw. fcbis fH)
Auf4: Bei der Messung des Schalldruckpegels (künstliches Ohr B&K 4152, Messverstärker B&K 2610) wurden für das gleiche Signal (f = 1kHz) folgende Werte gemessen:
SPL1= 120dB (Indikator in Stellung „rms", Integrator inStellung „slow")
SPL2= 123dB (Indikator in Stellung „peak")
Wie groß ist der Schalldruck am künstlichen Ohr (Effektivwert) und um welche Signalform könnte es sich handeln?
L:
P (p viết nhỏ) = 20 ∙ log10(Peff/Po)
-> 120dB = 20 * log10 (Peff/Po)
Po= 2 * 10^-5 Pa
->Peff = Po * 10^(p/20)
=2 * 10^-5 Pa * 10^(120/20) = 20Pa
Signalform:
-Symmetrische Rechteckspannung, da p^ = Peff (wenn SPL2 - SPL1 =0dB)
-Für SPL2= SPL1– 3dB: Die Amplitude ist um 3 dB größer als der Effektivwert ->Symmetrische Sinusspannung, da Ueff= (Umũ^/ căn 2)
-Für SPL2= SPL1– 20dB: ??? unsymmetrische Schwingung/ Impuls
Auf5: Geben Sie die Schaltung eines praktisch benutzbaren Bioverstärkers an! Leiten Sie die Differenzverstärkung des angegebenen Verstärkers her.


Auf6: Bei der Messung einer Elektrodenimpedanz (Real- und Imaginärteil) ergaben sich folgende Messwerte:
f [Hz] ; R(f) [kΩ] ; X(f) [kΩ]
1 ; 40,7 ; -0,3
100 ; 26,2 ; -19,2
200 ; 13,0 ; -18,4
500 ; 3,4 ; -9,9
10000 ; 0,7 ; -0,5
Geben Sie die Ortskurve und ein Ersatzschaltbild mit parametrisierten Bauelementen an!
L: Für f = 0 ... ~10 Hz: Rges = Rs + Rd
Für f > 100 kHz: Rges = Rs
Hier: R10000Hz = Rs = 0,7 kΩ
R1Hz = Rs + Rd = 40,7 kΩ
Rd = R1Hz – R10000Hz = 40,7 kΩ - 0,7 kΩ = 40 kΩ
f(3dB) = 100Hz
Cd = 1/ (2*pi*f(3dB)*Rd) = 39,79nF
Ersatzschaltbild und Ortskurve:

Auf7: Ein Bioverstärker hat Differenzspannung von Vd= 1000 und eine Gleichtaktunterdrückung CMR von 74dB. Berechnen Sie ob ein Gleichtaktsignal Uegl von 800mV am Eingang eine EKG Registrierung stört?

Nutzsignal: EKG verstärkt 1mV*2*10^3= 2V
Störtsignal von 150mV geht im Nutzsignal von 2V unter -> Es stört nicht die EKG-Registierung.
Auf8: Für die Kalibrierung einer...




8a.(cũng hình đó, R1= 2kΩ, R2= 10kΩ, C1= 39nF. Geben Sie die Impedanz bei f=1)
Rc1=1/w*c1 = 1/2pi*f*c1=4,1MΩ
Rges= R1 + (R2*Rc1)/(R2+Rc1)=2kΩ+ (10kΩ*4,1MΩ)/(10kΩ+4,1MΩ) =11,98kΩ
8b.cũng hình đó, R1= 1kΩ, R2= 20kΩ, C1= 4,7nF. Welche thermische Rauschspannung ensteht im Frequenzbereich 0-1Hz?


Auf9:


Bạn đang đọc truyện trên: Truyen2U.Com